하루에 5시간 미만 또는 9시간 이상 잠을 자면 우울증 위험을 높인다는 연구 결과가 나왔다.
윤창호 분당서울대학교병원 신경과 교수와 윤지은 순천향대 부천병원 신경과 교수팀은 이런 내용의 연구 결과를 대한신경과학회에서 발행하는 국제학술지 ‘저널 오브 클리니컬 뉴롤로지’에 게재했다고 31일 밝혔다.
![]() |
| 윤창호 분당서울대학교병원 신경과 교수와 윤지은 순천향대 부천병원 신경과 교수(분당서울대학교병원 및 순천향대 부천병원 제공) |
수면은 맥박과 호흡 등 생명 유지에 필요한 최소한의 활동을 제외한 모든 신체활동이 휴면에 들어간 상태를 의미한다. 부족한 수면은 신체·정신적 문제를 야기할 수 있고, 특히 만성적인 수면 부족은 심혈관 질환, 대사 질환, 뇌졸중, 치매, 우울증, 불안증 등 여러 질환의 발병위험을 높인다.
좋은 수면 습관은 건강을 유지하는데 매우 중요한 요소 중 하나이기에 일상생활에서 올바른 수면습관의 중요성은 항상 강조돼 왔다. 하지만 과거보다 불면증 등 수면 질환이 증가했으며, 한국인을 대상으로 하는 수면 특성 변화에 관한 연구는 아직 없는 실정이었다.
이에 따라 연구팀은 한국 성인의 수면 특성의 변화를 확인하고 우울증과 수면시간의 연관성을 파악하고자 연구를 시작했다. 연구 대상은 2009년(2836명)과 2018년(2658명) 무작위로 추출된 19세 이상 성인으로 기상 시간, 취침시간, 총수면 시간, 주관적인 잠 부족 경험, 수면의 질, 우울증을 조사했다.
연구 결과 2009년에 비해서 2018년의 우울증 유병률은 4.6%에서 8.4%로 2배 가까이 증가했다. 아울러 평균 수면시간은 19분 감소하는 등 불충분한 수면을 하고 있다고 인식하는 사람의 비율이 30.4%에서 44.3%로 증가했다.
![]() |
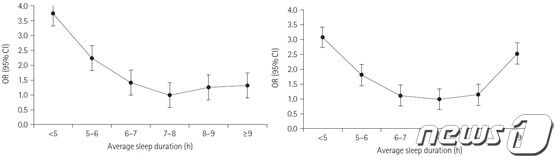
| 수면시간과 우울증 유병률 비교(좌-2009년, 우-2018년)(분당서울대학교병원 및 순천향대 부천병원 제공) |
수면에 도달하는 시간을 의미하는 수면잠복기는 평일 8분, 주말 7분 증가하는 등 평일, 주말 모두 수면 효율성이 떨어졌으며, 피츠버그 수면 질 지수(PSQI, 5점 초과 시 잠재적인 수면 부족을 의미함)도 3.6에서 3.8로 증가했다.
이번 연구는 국내 최초로 한국인 대상 수면 특성 변화 연구로, 수면지속시간과 우울증의 연관성을 밝혔다. 특히 2009년과 2018년 모두 7~8시간 수면을 취한 사람의 우울증 유병률이 가장 낮았으며, 5시간 미만으로 수면을 취한 사람은 적정 수면시간을 취한 사람보다 3.08~3.74배 높았다.
아울러 9시간 이상 수면을 취하면 7시간 수면을 취했을 때보다 우울증 유병률이 1.32~2.53배 높은 것으로 나타나 적정 수면시간을 취하는 게 매우 중요하다고 연구팀은 설명했다. 그 외 주간졸음, 불면증, 사회적시차, 저녁형 일주기유형이 우울증 발생 위험과 연관이 있었다.
윤창호 교수는 “부족한 수면시간과 낮은 수면의 질은 우울증 외에도 뇌졸중, 심혈관 질환 등 다양한 질환의 원인이 될 수 있다”며 “특히 5시간 미만, 또는 9시간 이상의 수면시간은 우울증 위험성을 높이므로 적정 수면시간을 지키는 게 중요하다”고 강조했다.
윤지은 교수는 “평균 수면시간, 수면의 질 등 대부분 지표가 10년 전보다 나빠졌다. 질환을 예방하고 건강한 삶을 유지하기 위해선 좋은 수면 행동의 중요성 관련 교육이 필요하다”며 “한국인의 수면 특성 변화를 사회적 문제로 인식하고 해결하려는 노력이 필요하다”고 조언했다.








![[영상] 中 세계유일 ‘화이트 판다’ 화제…쓰촨성 당국 영상 공개](https://alabamakoreantimes.com/wp-content/uploads/2023/05/20230531-al8-75x75.jpg)